盂县人民政府关于阳煤集团盂县铝土矿有限责任公司白土坡铝土矿采矿权矿区范围的公告

字数:1,293 2025年09月18日 综合


  阳煤集团盂县铝土矿有限责任公司申请对山西省盂县白土坡铝土矿详查区域进行采矿权新立登记,目前登记手续已完成。根据《矿产资源开采登记管理办法》(国务院令第241号)第8条规定,现对该采矿许可证矿区范围及注意事项予以公告。
  采矿证号:C1400002025063210158485
  采矿权人:阳煤集团盂县铝土矿有限责任公司
  矿山名称:阳煤集团盂县铝土矿有限责任公司白土坡铝土矿
  注册地址:阳泉盂县藏山北路(跃进花园院内)
  经济类型:有限责任公司
  开采矿种:铝土矿、硬质耐火粘土矿、镓开采方式:露天/地下开采
  生产规模:30万吨/年
  矿区面积:28.1880平方公里
  有效期限:两年 2025年6月8日至2027年6月8日
  空间范围:该矿区范围坐落于盂县牛村镇、郊区西南舁乡、河底镇,北至教场村、大岭村、北韩庄村、石圪泽村;东至石圪泽村、白土坡村、咀子上村、东林尖村、大西庄村;南至大西庄村、五架山村、杨家庄村、南流村;西至南流村(沟东)、东山村、骆驼岩村、教场村。
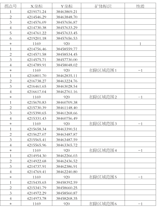
  开采深度:由海拔1169米至海拔920米标高共由30个拐点圈定。
  矿区范围拐点坐标:(2000国家大地坐标系3度带)
  相关要求及告知事项:
  一 、阳煤集团盂县铝土矿有限责任公司必须严格按照批准的矿区范围、开采标高和方案等开展勘探、基建、开采等相关采矿行为,并依法履行矿山地质环境保护与土地复垦、安全生产、水土保持、生态环境等法定义务。必须依法缴纳矿业权出让收益、矿产资源税、矿山环境治理恢复基金等相关税费。并对矿区范围开展不定期巡查,如发现在确定的矿区范围内有非法采矿、新建影响矿山生产的设施等行为,及时上报有关部门进行处理。
  二、自本公告发布之日起,在已设定的矿区范围内,任何单位和个人不得再设置其他采矿权,不得新建影响矿山生产的设施。禁止任何单位和个人进入该矿区范围内进行非法采矿活动,一经发现,依法严厉查处,构成犯罪的依法追究刑事责任。
  三、矿区及周边的村民经济组织、企事业单位和群众,应正确处理自身生产经营、生活活动与矿山开采的关系。对因矿产资源开采引发的各类矛盾和问题,应通过合法途径解决。
  四、矿区内可能会存在塌陷区、高陡边坡等不良地质构造,任何单位或个人不得擅自进入矿区危险区域及雷雨天气下的空旷地带,因违规进入造成人身财产损失的,责任自负。阳煤集团盂县铝土矿有限责任公司要在塌陷区、高陡边坡地段做好警戒,并开展不定期巡查,以确保人民群众生命财产安全。
  五、阳煤集团盂县铝土矿有限责任公司已取得采矿许可证,目前正在组织勘探,以便办理项目立项、环评、安评等满足生产条件的前期手续,从未授权任何单位或个人参与矿区建设、合作开发、劳务承包等业务。请大家切勿轻信“投资入股”“内部承包”等谣言,谨防诈骗造成财产损失。
  任何单位和个人都有权对本采矿权范围内的非法违法开采行为、非法运输矿石、破坏性开采及破坏生态环境等非法违法行为进行监督和举报。若发现私挖滥采、非法采矿、非法运输矿石等行为,或遇“投资入股”“内部承包”等可疑信息,可向以下单位举报或核实:盂县人民政府0353-8083215,盂县公安局报警电话0353-8182110,盂县自然资源局0353-8084023。阳煤集团盂县铝土矿有限责任公司0353-8115566。对于举报属实的将酌情给予奖励。
  特此公告。
  附:阳煤集团盂县铝土矿有限责任公司白土坡铝土矿矿区范围图
  盂县人民政府
  2025年9月8日